info prev up next book cdrom email home

Ellipsoidal Harmonic of the First Kind

The first solution to Lamé's Differential Equation, denoted $E_n^m(x)$ for $m=1$, ..., $2n+1$. They are also called Lamé Functions. The product of two ellipsoidal harmonics of the first kind is a Spherical Harmonic. Whittaker and Watson (1990, pp. 536-537) write

$\displaystyle \Theta_p$ $\textstyle =$ $\displaystyle {x^2\over a^2+\theta_p}+{y^2\over b^2+\theta_p}+{z^2\over c^2+\theta_p}-1$ (1)
$\displaystyle \Pi(\Theta)$ $\textstyle \equiv$ $\displaystyle \Theta_1\Theta_2\cdots\Theta_m,$ (2)

and give various types of ellipsoidal harmonics and their highest degree terms as
1. $\Pi(\Theta): 2m$

2. $x\Pi(\Theta), y\Pi(\Theta), z\Pi(\Theta): 2m+1$

3. $yz\Pi(\Theta), zx\Pi(\Theta), xy\Pi(\Theta): 2m+2$

4. $xyz\Pi(\Theta): 2m+3$.

A Lamé function of degree $n$ may be expressed as
\begin{displaymath}
(\theta+a^2)^{\kappa_1}(\theta+b^2)^{\kappa_2}(\theta+c^2)^{\kappa_3}\prod_{p=1}^m (\theta-\theta_p),
\end{displaymath} (3)

where $\kappa_i=0$ or 1/2, $\theta_i$ are Real and unequal to each other and to $-a^2$, $-b^2$, and $-c^2$, and
\begin{displaymath}
{\textstyle{1\over 2}}n=m+\kappa_1+\kappa_2+\kappa_3.
\end{displaymath} (4)


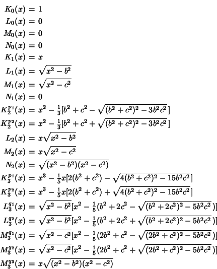
Byerly (1959) uses the Recurrence Relations to explicitly compute some ellipsoidal harmonics, which he denotes by $K(x)$, $L(x)$, $M(x)$, and $N(x)$,

\begin{eqnarray*}
K_0(x)&=&1\\
L_0(x)&=&0\\
M_0(x)&=&0\\
N_0(x)&=&0\\
K...
...^2)^2-5b^2c^2}\,)]\\
M_3^{q_3}(x)&=&x\sqrt{(x^2-b^2)(x^2-c^2)}
\end{eqnarray*}



See also Ellipsoidal Harmonic of the Second Kind, Stieltjes' Theorem


References

Byerly, W. E. An Elementary Treatise on Fourier's Series, and Spherical, Cylindrical, and Ellipsoidal Harmonics, with Applications to Problems in Mathematical Physics. New York: Dover, pp. 254-258, 1959.

Whittaker, E. T. and Watson, G. N. A Course in Modern Analysis, 4th ed. Cambridge, England: Cambridge University Press, 1990.




© 1996-9 Eric W. Weisstein
1999-05-25