二、配合平衡的移动《医用化学》

二、配合平衡的移动

金属离子Mn+和配位体A-生成配离子MA(n-x)+x,在水溶液中存在如下平衡:

根据平衡移动原理,改变Mn+或A-的浓度,会使上述平衡发生移动。若在上述溶液中加入某种试剂使Mn+生成难溶化合物,或者改变Mn+的氧化状态,都会使平衡向左移动。若改变溶液的酸度使A-生成难离解的弱酸,也可使平衡向左移动。

配合平衡同样是一种相对的平衡状态,它同溶液的PH值、沉淀反应、氧化还原反应等都有密切的关系。

(一)与酸度的关系

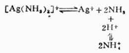
根据酸碱质子理论,所有的配位体都可以看作是一种碱。因此,在增加溶液中的H+浓度时,由于配位体同H+结合成弱酸面使配合平衡向右移动,配离子平衡遭到破坏,这种现象称为酸效应,例如:

配位体的碱性愈强,溶液的PH值愈小,配离子愈易被破坏。

金属离子在水中,都会有不同程度的水解作用。溶液的PH值愈大,愈有利于水解的进行。例如:Fe3+在碱性介质中容易发生水解反应,溶液的碱性愈强,水解愈彻底(生成Fe(OH)3沉淀)。

因此,在碱性介质中,由于Fe3+水解成难溶的Fe(OH)3沉淀而使平衡向右移动,因而[FeF6]3-遭到破坏,这种现象称为金属离子的水解效应。

(二)与沉淀反应的关系

当向含有氯化银沉淀的溶液中加入氨水时,沉淀即溶解。

当在上述溶液中加入溴化钠溶液时,又有淡黄色的沉淀生成。

由于AgBr的溶解度比AgCL的溶解度小得多,因而Br-=争夺Ag+的能力比CL-的大,所以能产生AgBr沉淀而不能产生AgCL沉淀。沉淀剂与金属离子生成沉淀的溶解度愈小,愈能使配离子破坏而生成沉淀。

(三)与氧化还原反应的关系

配合反应的发生可以改变金属离子的氧化能力。例如:当PbO2(Pt+)与盐酸反应时,其产物不是PbCL4,而是PbCL2和CL2。但是当它形成[PbCL6]2-配离子后,Pb就能保持它的+4氧化态。

配合反应影响氧化还原反应的方向。例如,Fe3+可以把I-氧化成I2:

在加入F-后,由于生成[FeF6]3-,减少了Fe3+的浓度,使平衡向左移动。

当我们考查配合反应对氧化还原反应的影响时,不仅要注意配离子的形成,而且还要注意配离子的稳定性。

上一页:一、配离子的离解平衡
当前页:二、配合平衡的移动
下一页:一、螯合物的概念